91免费网址在线观看,91免费版看片,91免费观看色片,91免费视频网页版


深圳市91免费网址在线观看标准光源有限公司

TILO 经典传承,源自1998

111仪器信息网

全国统一客服热线:

400-888-5135
当前位置:主页>新闻中心>行业资讯

如何评价LED光源你质量?LED光源的光学参数

文章出处:www.qingdaoweisidun.com 人气:2685发表时间:2023-10-26


LED光源是目前市场上的主流光源,具有节能环保、使用寿命长等优点,深受喜爱。那么,如何评价LED光源你质量呢?本文从LED光源的光学参数的角度进行了角度总结。


LED光源


1. 视见函数

视见函数是用来反映人眼对不同波长的光的敏感程度的物理量。人眼对光辐射的敏感程度不仅与辐射强度有关,也与辐射波长有关。在可见光范围内,人眼对555nm波长的黄绿光最敏感,对红光和紫光的敏感程度最差。用V(λ)表示,计算方法如下所示:

 

 LED光源

 

2. 辐射通量

单位时间内的辐射能量就是辐射通量。辐射通量反映的是辐射能力的强弱。用符号Фe表示。单位瓦特(W)。

 

3. 光通量

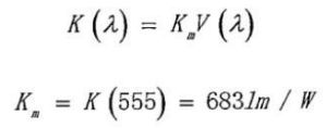
光通量(luminous flux)是指人眼所能感受到的辐射功率,用Ф表示。光通量Ф与辐射通量Фe成正比,如下式所示:

 

 LED光源2

 

Km被称为最大光谱光视效能。

 

4. 显色指数

光源显色指数是衡量光源质量的标准之一。光源的显色根据其效果的差异被分为忠实显色和效果显色两种,忠实显色就是能使人眼分辨出物体的真实颜色。效果显色能够对特定的色彩进行渲染,加强其色彩中蕴含的情绪,给人带来更加丰富的视觉效果和体验。当光源在照射在物体上时,显色指数越高,表明这种光可以很好的表现物体本身的颜色;而在显色指数低的光源下,物体的颜色与物体原本的颜色相差很大。显色指数的优劣通常是由光源的光谱来决定的。光谱可以决定光源的颜色,然而同样光色的光源可以由不同颜色的光谱组成。因此即使是相同颜色的光源,其光谱不同,显色性也是不同的。通常只有光谱成分复杂的光源才有较好的显色性,若颜色单一,其显色性差。

 

5. 色温

色温是用来定义光源颜色的物理量。在生活中,不同色温的光源可以给91免费网址在线观看带来不同的心理感受,营造不同的环境氛围,许多场景对光源的色温有一定要求。通常将色温小于3300K的光源称为暖光源,将色温在3000-5000K之间的光源称为中间光源,色温大于5000K的光源为则为冷光源。对于LED灯光,暖白光光源的色温约为3000-3200K,正白光光源的色温在6000-6500K间,冷白光光源的色温一般在8000K以上。

 

6. 发光效率

发光效率又称光效,是指一个光源的光通量与光源的电功率的比值,由于人类对不同波长光的敏感度不同,即使两种不同波长的光有相同的发光效率,但是人眼感知的亮度不同。发光效率可以反映这样的差别。发光效率是衡量光源性能的指标,目前LED的发光性能已经超过白炽灯,但还没有达到荧光灯的水平。

 

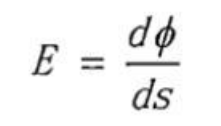
7. 光照度

光照度指的是被照物体表面单位面积上的光通量,光照度的单位是勒克斯(lx),1lx=1lm/m2,使用光照度来表示物体表面被照明程度。表达式为:

 

 LED光源3

 

8. 亮度

亮度是指发光体或者反光体表面在单位投射面积、单位立体角内的光通量。定义亮度单位是坎德拉/平方米(cd/m2),公式为:上式中的Ω是立体角,Φ是光通量,θ是指定方向与单位面积法线的夹角。亮度是反映发光体(反光体)表面发光(反光)强度的物理量。由于朗伯光源是一种各向同性光源,所以观察者在空间内各个方向观察的亮度相同。

 

LED光源4

同类文章排行

最新资讯文章

QQ咨询

在线咨询真诚为您提供专业解答服务

咨询热线

400-888-5135
7*24小时服务热线

返回顶部
网站地图