91免费网址在线观看,91免费版看片,91免费观看色片,91免费视频网页版


深圳市91免费网址在线观看标准光源有限公司

TILO 经典传承,源自1998

111仪器信息网

全国统一客服热线:

400-888-5135
当前位置:主页>新闻中心>行业资讯

光源显色性的要求有哪些?

文章出处:www.qingdaoweisidun.com 人气:1689发表时间:2023-10-25

光源光谱对于物体色貌的影响。这种影响是观察者有意或无意地将它与参考照明体下的色貌相比较产生的。那么,光源显色性的要求有哪些呢?本文进行了简单总结。


光源显色性


一:光源显色性应使用显色指数来定量评价,还可参照下列方法进行定量评价。


光源显色性


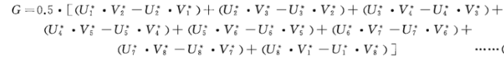
1. 光源的色域指数的计算

① 光源的色域应根据上表规定的标准颜色样品,并按下列式子计算:

 

光源显色性2


② 被测光源的色域指数G,可根据下列式子计算:

 

光源显色性3


式中:
Gk 被测光源的色域;
Gr 参考照明体的色域。

 

2. 光源的彩度指数的计算
① 光源的彩度指数可根据附录B规定的标准颜色样品或用户需求确定的非标准颜色样品来进行计算。
② 在参考照明体照射下颜色样品的彩度 根据GB/T 7921-2008中5.2的规定确定。
③ 在被测光源照射下颜色样品的彩度:根据 GB/T 7921-2008中5.2的规定确定。
④ 被测光源的彩度指数根据下列式子确定:

 

光源显色性4



二、被测光源与参考照明体的色品差Δc 应小于5.4×10-3。


光源显色性5


三、光源显色性评价用的颜色样品的选择应符合以下规定:
1. 颜色样品根据附录B的规定确定;
2. 一般显色指数应根据表B.1规定的标准颜色样品确定。


四、光源显色性评价用的颜色样品可见光光谱反射比应根据附录B确定,且可通过插值运算减小波长间隔。

 


同类文章排行

最新资讯文章

QQ咨询

在线咨询真诚为您提供专业解答服务

咨询热线

400-888-5135
7*24小时服务热线

返回顶部
网站地图